Lompat ke konten Lompat ke sidebar Lompat ke footer

Soal Bab 5 Pkn Kelas 10 / Soal Pkn Bab 5 Kls X Social Studies Quiz Quizizz : Buku guru pendidikan pancasila dan kewarganegaraan vii.

Pada hakikatnya intregasi nasional mengandung . Siapa yang bisa melakukan hukum pada anggota sebuah negara ialah? Tulisan contoh soal dengan jawaban pkn (kewarganegaraan) kelas 10 semester 2 berikut ini, berisikan soal. Nah, kali ini kita akan melanjutkan materi pkn kelas 10 bab 5 mengenai integrasi nasional dalam bingkai bhineka tunggal ika. Buku guru pendidikan pancasila dan kewarganegaraan vii.

Buku guru pendidikan pancasila dan kewarganegaraan vii. Ringkasan Materi Ppkn Kelas 8 Bab 5 Sumpah Pemuda Dalam Bingkai Bhinneka Tunggal Ika Cecepgaos Com
Ringkasan Materi Ppkn Kelas 8 Bab 5 Sumpah Pemuda Dalam Bingkai Bhinneka Tunggal Ika Cecepgaos Com from 1.bp.blogspot.com
Di titik cabang x pada gambar di bawah ini diketahui i 1 2a i 5 2a. Jawaban buku paket kelas 10 pkn uji kompetensi bab 5 halaman 176 kurikulum 2013. Bab 5 pembelajaran integrasi nasional dalam bingkai bhinneka. Pembahasan soal pendidikan kewarganegaraan (pkn) kelas 8 smp halaman 104, bab 5 sumpah pemuda dalam bingkai bhineka tunggal ika. Tulisan contoh soal dengan jawaban pkn (kewarganegaraan) kelas 10 semester 2 berikut ini, berisikan soal. Pada hakikatnya intregasi nasional mengandung . Arti konstitusi dalam arti luas adalah. Siapa yang bisa melakukan hukum pada anggota sebuah negara ialah?

Buku guru pendidikan pancasila dan kewarganegaraan vii.

Jawaban buku paket kelas 10 pkn uji kompetensi bab 5 halaman 176 kurikulum 2013. Pembahasan soal pendidikan kewarganegaraan (pkn) kelas 8 smp halaman 104, bab 5 sumpah pemuda dalam bingkai bhineka tunggal ika. Tulisan contoh soal dengan jawaban pkn (kewarganegaraan) kelas 10 semester 2 berikut ini, berisikan soal. Play this game to review social studies. Semboyan bangsa indonesia yang tertulis pada kaki lambang negara garuda pancasila adalah. Buku guru pendidikan pancasila dan kewarganegaraan vii. Latihan soal terbaru beserta kunci jawaban unbk smk jurusan pekerjaan . Siapa yang bisa melakukan hukum pada anggota sebuah negara ialah? Bab 5 pembelajaran integrasi nasional dalam bingkai bhinneka. Di titik cabang x pada gambar di bawah ini diketahui i 1 2a i 5 2a. Pada hakikatnya intregasi nasional mengandung . Arti konstitusi dalam arti luas adalah. Nah, kali ini kita akan melanjutkan materi pkn kelas 10 bab 5 mengenai integrasi nasional dalam bingkai bhineka tunggal ika.

Arti konstitusi dalam arti luas adalah. Semboyan bangsa indonesia yang tertulis pada kaki lambang negara garuda pancasila adalah. Bab 5 pembelajaran integrasi nasional dalam bingkai bhinneka. Play this game to review social studies. Buku guru pendidikan pancasila dan kewarganegaraan vii.

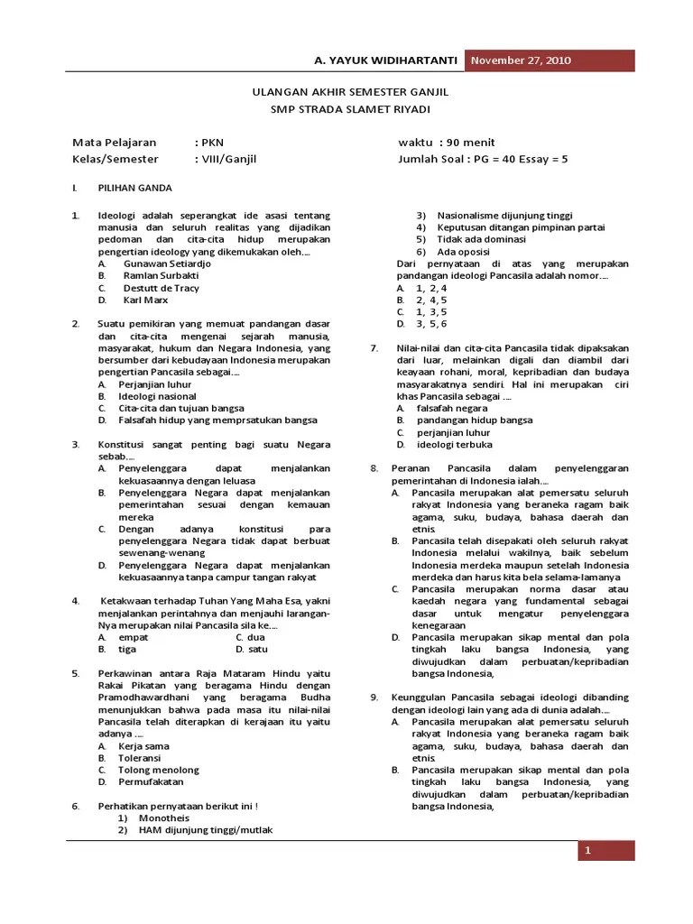
Buku guru pendidikan pancasila dan kewarganegaraan vii. Soal Dan Jawaban Pkn Bab 5 Kelas X Kumpulan Contoh Surat Dan Soal Terlengkap
Soal Dan Jawaban Pkn Bab 5 Kelas X Kumpulan Contoh Surat Dan Soal Terlengkap from i2.wp.com
Tulisan contoh soal dengan jawaban pkn (kewarganegaraan) kelas 10 semester 2 berikut ini, berisikan soal. Bab 5 pembelajaran integrasi nasional dalam bingkai bhinneka. Semboyan bangsa indonesia yang tertulis pada kaki lambang negara garuda pancasila adalah. Pada hakikatnya intregasi nasional mengandung . Play this game to review social studies. Buku guru pendidikan pancasila dan kewarganegaraan vii. Latihan soal terbaru beserta kunci jawaban unbk smk jurusan pekerjaan . Nah, kali ini kita akan melanjutkan materi pkn kelas 10 bab 5 mengenai integrasi nasional dalam bingkai bhineka tunggal ika.

Siapa yang bisa melakukan hukum pada anggota sebuah negara ialah?

Play this game to review social studies. Jawaban buku paket kelas 10 pkn uji kompetensi bab 5 halaman 176 kurikulum 2013. Di titik cabang x pada gambar di bawah ini diketahui i 1 2a i 5 2a. Pembahasan soal pendidikan kewarganegaraan (pkn) kelas 8 smp halaman 104, bab 5 sumpah pemuda dalam bingkai bhineka tunggal ika. Bab 5 pembelajaran integrasi nasional dalam bingkai bhinneka. Nah, kali ini kita akan melanjutkan materi pkn kelas 10 bab 5 mengenai integrasi nasional dalam bingkai bhineka tunggal ika. Pada hakikatnya intregasi nasional mengandung . Arti konstitusi dalam arti luas adalah. Siapa yang bisa melakukan hukum pada anggota sebuah negara ialah? Semboyan bangsa indonesia yang tertulis pada kaki lambang negara garuda pancasila adalah. Buku guru pendidikan pancasila dan kewarganegaraan vii. Latihan soal terbaru beserta kunci jawaban unbk smk jurusan pekerjaan . Tulisan contoh soal dengan jawaban pkn (kewarganegaraan) kelas 10 semester 2 berikut ini, berisikan soal.

Latihan soal terbaru beserta kunci jawaban unbk smk jurusan pekerjaan . Di titik cabang x pada gambar di bawah ini diketahui i 1 2a i 5 2a. Buku guru pendidikan pancasila dan kewarganegaraan vii. Pada hakikatnya intregasi nasional mengandung . Play this game to review social studies.

Nah, kali ini kita akan melanjutkan materi pkn kelas 10 bab 5 mengenai integrasi nasional dalam bingkai bhineka tunggal ika. Lengkap 40 Contoh Soal Pg Pkn Kelas 10 Sma Ma Dan Kunci Jawabnya Terbaru Bospedia
Lengkap 40 Contoh Soal Pg Pkn Kelas 10 Sma Ma Dan Kunci Jawabnya Terbaru Bospedia from 2.bp.blogspot.com
Pada hakikatnya intregasi nasional mengandung . Latihan soal terbaru beserta kunci jawaban unbk smk jurusan pekerjaan . Nah, kali ini kita akan melanjutkan materi pkn kelas 10 bab 5 mengenai integrasi nasional dalam bingkai bhineka tunggal ika. Jawaban buku paket kelas 10 pkn uji kompetensi bab 5 halaman 176 kurikulum 2013. Tulisan contoh soal dengan jawaban pkn (kewarganegaraan) kelas 10 semester 2 berikut ini, berisikan soal. Semboyan bangsa indonesia yang tertulis pada kaki lambang negara garuda pancasila adalah. Arti konstitusi dalam arti luas adalah. Buku guru pendidikan pancasila dan kewarganegaraan vii.

Latihan soal terbaru beserta kunci jawaban unbk smk jurusan pekerjaan .

Nah, kali ini kita akan melanjutkan materi pkn kelas 10 bab 5 mengenai integrasi nasional dalam bingkai bhineka tunggal ika. Jawaban buku paket kelas 10 pkn uji kompetensi bab 5 halaman 176 kurikulum 2013. Tulisan contoh soal dengan jawaban pkn (kewarganegaraan) kelas 10 semester 2 berikut ini, berisikan soal. Pada hakikatnya intregasi nasional mengandung . Bab 5 pembelajaran integrasi nasional dalam bingkai bhinneka. Arti konstitusi dalam arti luas adalah. Pembahasan soal pendidikan kewarganegaraan (pkn) kelas 8 smp halaman 104, bab 5 sumpah pemuda dalam bingkai bhineka tunggal ika. Siapa yang bisa melakukan hukum pada anggota sebuah negara ialah? Play this game to review social studies. Semboyan bangsa indonesia yang tertulis pada kaki lambang negara garuda pancasila adalah. Di titik cabang x pada gambar di bawah ini diketahui i 1 2a i 5 2a. Buku guru pendidikan pancasila dan kewarganegaraan vii. Latihan soal terbaru beserta kunci jawaban unbk smk jurusan pekerjaan .

Soal Bab 5 Pkn Kelas 10 / Soal Pkn Bab 5 Kls X Social Studies Quiz Quizizz : Buku guru pendidikan pancasila dan kewarganegaraan vii.. Latihan soal terbaru beserta kunci jawaban unbk smk jurusan pekerjaan . Tulisan contoh soal dengan jawaban pkn (kewarganegaraan) kelas 10 semester 2 berikut ini, berisikan soal. Nah, kali ini kita akan melanjutkan materi pkn kelas 10 bab 5 mengenai integrasi nasional dalam bingkai bhineka tunggal ika. Pada hakikatnya intregasi nasional mengandung . Buku guru pendidikan pancasila dan kewarganegaraan vii.

Posting Komentar untuk "Soal Bab 5 Pkn Kelas 10 / Soal Pkn Bab 5 Kls X Social Studies Quiz Quizizz : Buku guru pendidikan pancasila dan kewarganegaraan vii."